ECE552 Midterm Notes

A summary of the first 5 weeks of ECE552 at Purdue university:

  • Ray Tracing
  • Gaussian Beams
  • Guided Beams / Continuous Media
  • Cavities and Resonance

0. Preamble: Units

  • 1 Angstrom = $10^{-10}m$
  • Plancks constant = $6.62607015×10^{-34} J⋅Hz^{-1}$
  • Speed of light = $2998\cdot 10^{10} \frac{m}{s}$
  • 1 electron volt = charge of an electron = $1.602176634×10^{-19}C$
  • characteristic impedance of free space $\eta_0$ = $120\pi \Omega$

1. Ray Tracing (Chapter 2)

EM waves in the optical frequency range are highly directional. This allows us to treat these waves with the methods of geometric optics to a surprising degree of accuracy.

In geometric optics, beams become 1 dimensional rays. These rays are entirely defined by their position and direction. In 2D, these are given by their height off of the optical axis and the slope relative to that axis. In the below diagram, the position is given as $r_i$ and the slope as $\theta_i$. For small $\theta_i$, the slope is approximately $\theta_i$, but in general we use the notation $r_i'$ to talk about the slope of a line.

System-level view of transmission systems

The equations that relate these variables at the two planes shown are:

$$r_2=1\cdot r_1+d\cdot r_1'$$

$$r_2'=0\cdot r_1+1\cdot r_1'$$$$ \begin{bmatrix} r_2 \\ r_2' \end{bmatrix} = \begin{bmatrix} 1 & d \\ 0 & 1 \end{bmatrix} \begin{bmatrix} r_1 \\ r_1' \end{bmatrix}= \mathbf{T} \begin{bmatrix} r_1 \\ r_1' \end{bmatrix} $$

$\mathbf{T}$ is called the ABCD matrix.

$$ \mathbf{T} = \begin{bmatrix} A & B \\ C & D \end{bmatrix} $$

If the refractive index at both planes is the same, it turns out that

$$det(\mathbf{T})=1=AD-BC$$

We now find $\mathbf{T}$ for different optical systems:

1.1 Free Space

$$ \mathbf{T} = \begin{bmatrix} 1 & d \\ 0 & 1 \end{bmatrix} $$

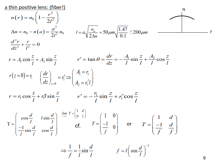
1.2 Thin Lens

$$ \mathbf{T} = \begin{bmatrix} 1 & 0 \\ -\frac{1}{f} & 1 \end{bmatrix} $$

1.3 Space + Lens

$$ \mathbf{T} = \begin{bmatrix} 1 & 0 \\ -\frac{1}{f} & 1 \end{bmatrix} \begin{bmatrix} 1 & d \\ 0 & 1 \end{bmatrix}= \begin{bmatrix} 1 & d \\ -\frac{1}{f} & 1-\frac{d}{f} \end{bmatrix} $$

1.4 Curved Mirror

$$ \mathbf{T} = \begin{bmatrix} 1 & 0 \\ -\frac{1}{f} & 1 \end{bmatrix}= \begin{bmatrix} 1 & 0 \\ -\frac{2}{R} & 1 \end{bmatrix} $$

1.4 Media Interface

$$ \mathbf{T} = \begin{bmatrix} 1 & 0 \\ 0 & \frac{n_1}{n_2} \end{bmatrix} $$

1.5 Analyzing Cavities

You can represent a cavity with a series of lenses. With this representation, we can find the conditions for stability (the ray doesn’t leave beyond a maximum height).

Construct a series of heights at the $s_{th}$ plane, $r_s$. It turns out that this series obeys a difference equation for the harmonic oscillator:

$$r_{s+2}-(A+D)r_{s+1}+r_s=0$$

A solution is

$$r_s=r_0e^{js\theta}$$

Where

$$e^{j\theta}=\frac{A+D}{2} \pm j[1-(\frac{A+D}{2})^2]^{\frac{1}{2}} $$

Therefore, the total solution is

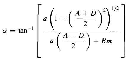
$$r_s=r_0e^{js\theta}+r_0^*e^{-js\theta}=r_{max}sin(s\theta+\alpha)$$

This last step is only true if

$$\boxed{-1 \leq cos(\theta)=\frac{A+D}{2} \leq 1}$$$$\boxed{r_s=r_{max}sin(s\theta+\alpha)}$$

This is the condition for stability. $r_{max}$ and $\alpha$ are solved with initial conditions.

(m is the initial slope, a is the initial height)

1.6 Two Curved Mirrors

We can now analyze the figure above with the general method.

$$\mathbf{T}= \begin{bmatrix} 1 & d \\ -\frac{2}{R_1} & 1-\frac{2d}{R_1} \end{bmatrix} \begin{bmatrix} 1 & d \\ -\frac{2}{R_2} & 1-\frac{2d}{R_2} \end{bmatrix}= \begin{bmatrix} 1-\frac{2d}{R_2} & d+d(1-\frac{2d}{R_2}) \\ -\frac{2}{R_1}-\frac{2}{R_2}(1-\frac{2d}{R_1}) & (1-\frac{2d}{R_1})(1-\frac{2d}{R_1})-\frac{2d}{R_1} \end{bmatrix} $$$$-1 \leq \frac{A+D}{2}=\frac{1-\frac{2d}{R_2}+(1-\frac{2d}{R_1})(1-\frac{2d}{R_1})-\frac{2d}{R_1}}{2} \leq 1$$

$$0 \leq (1-\frac{d}{R_1})(1-\frac{d}{R_2}) \leq 1$$

Let

$$g_i=1-\frac{d}{R_i}$$$$\boxed{0 \leq g_1g_2 \leq 1}$$

This can be plotted

2. Gaussian Beams (Chapter 3)

2.1 Optical Beams are ~TEM Waves

Start with Gauss’ Law

$$\nabla \cdot \mathbf{E} = 0$$

Split into transverse and lateral directions:

$$\nabla_t \cdot \mathbf{E_t}+\frac{\partial}{\partial z}E_z = 0$$

Make the following approximations:

  1. $E_z\approx E_0e^{-jkz} \Rightarrow \frac{\partial}{\partial z}E_z \approx -jk E_z$ (resembles TE wave)
  2. $\nabla_t \cdot \mathbf{E_t} \approx \frac{|E_t|}{D}$ (finite diameter beam, D is diameter of beam)

Therefore

$$E_z\approx \frac{\lambda_0}{2\pi nD}|\mathbf{E_t}|\approx 0$$

2.2 Solution to Maxwell’s Equations

Considering $TEM_{m,p}$ modes

$$E_{m,p}=E_0H_m(\frac{\sqrt{2}x}{w(z)})H_p(\frac{\sqrt{2}y}{w(z)})\Psi(x,y,z)e^{-jkz}$$

Where

$$\Psi= e^{-j[P(z)+\frac{k(x^2+y^2)}{2q(z)}]}$$$$P'(z)=\frac{-j}{q(z)}$$$$\frac{1}{q(z)}=\frac{1}{R(z)}-j\frac{\lambda_0}{\pi n w^2(z)}$$$$w^2(z) = w_0^2(1+(\frac{z}{z_0})^2)$$$$R(z) = z(1+(\frac{z_0}{z})^2)$$$$z_0=\frac{\pi n w_0^2}{\lambda_0}$$

And $H_m$ is the hermite polynomial of degree $m$.

Therefore the electric field can be written as

$$E_{m,p}=E_0H_m(\frac{\sqrt{2}x}{w(z)})H_p(\frac{\sqrt{2}y}{w(z)})\{\frac{w_0}{w(z)}e^{-\frac{x^2+y^2}{w^2(z)}}\}\{e^{-j(kz-tan^{-1}(\frac{z}{z_0}))}\}\{e^{-j\frac{k(x^2+y^2)}{2R(z)}}\}$$

Which consists of an amplitude section, a longitudinal phase section, and a radial phase section.

2.3 Interpreting Solution

The following figure plots the line where the $e^{-\frac{x^2+y^2}{w^2(z)}}$ part of the field becomes $e^{-1}$.

The wavefronts are spheres.

At $z=0$, $w(z)=w_0$ and the radial phase goes to infinity, so there is a plane wave at the “beam waist.”

As $z$ goes to infinity, the beam spreads out linearly: $w(z>>z_0)=\frac{w_0}{z_0}z \Rightarrow \frac{\theta}{2}=\frac{dw}{dz}=\frac{w_0}{z_0}=\frac{\lambda_0}{n\pi w_0}$

The poynting vector is given as

$$S=\frac{1}{2}\frac{|E_0|^2}{\eta}[\frac{\pi w_0^2}{2}]=I_0A_{eff}$$$$A_{eff}=\frac{\pi w_0^2}{2} \Rightarrow I_0=\frac{1}{2}\frac{|E_0|^2}{\eta}$$

2.4 ABCD Law

$$\frac{1}{q_2}=\frac{C+D\frac{1}{q_1}}{A+B\frac{1}{q_1}}$$

3. Guided Beams / Continuous Media (Chapter 4)

4. Cavities and Resonance (Chapters 5 and 6)

4.1 Cavities

The main idea here is to match the spherical wavefronts to the cavity ends and solve the resulting system of equations:

  1. Assume Hermite-Gaussian beams are a characteristic mode of the cavity.
  2. $q(z+roundtrip)=q(z)$.
  3. Choose a unit cell and use ABCD law with above condition.
  4. Profit, finding $w_0$ to get $R(z)$ and $w(z)$.

Using step 2:

$$\frac{1}{q}=-\frac{A-D}{2B}-j\frac{[1-(\frac{A+D}{2})^2]^{\frac{1}{2}}}{B}=\frac{1}{R(z)}-j\frac{\lambda_0}{\pi n w^2(z)}$$

4.1.1 Simple Stable Cavity

4.1.2 Mode Volume

Mode volume is given as

$$V_{m,p}=\frac{\pi w_0^2}{w}d(m!p!2^{m+p})$$

4.2 Resonance

There is a round-trip phase shift (RTPS) when the wave travels through the cavity. For resonance:

$$RTPS= 2\theta = 2\pi q, q \in \mathbb{Z}$$

4.2.1 Simple Cavity, Plane Wave

(Reference the above figure)

$$2\theta = 2kd = 2\pi q$$$$k\cdot 2d=\frac{\omega n}{c}\cdot 2d= \frac{2\pi}{\lambda} \cdot 2d=2\pi q$$

4.2.1 Simple Cavity, Gaussian-Hermite

$$\theta = kd-(1+m+p)tan^{-1}(\frac{d}{z_0}) = \pi q$$$$\nu_{m,p,q}=\frac{c}{2nd}[q+\frac{1+m+p}{\pi}cos^{-1}(\sqrt{g_1g_2})]$$

4.2.2 Transmission and Reflection

Each cavity wall has a power reflection coefficient of $R_i$, and a single-pass power gain of $G_0$ is obtained when travelling through the active medium. The transmission coefficient below is the transmission from the incident wave inciting the cavity to the waves within the cavity.

$$T(\theta)=\frac{I_{trans}}{I_{inc}}=\frac{G_0(1-R_1)(1-R_2)}{(1-G_0\sqrt{R_1R_2})^2+4G_0\sqrt(R_1R_2)sin^2(\theta)}$$$$R(\theta)=[\frac{E_r}{E_i}]^2=\frac{(\sqrt{R_1}-\sqrt{R_2})^2+4G_0\sqrt{R_1R_2}sin^2(\theta)}{(1-G_0\sqrt(R_1R_2))^2+4G_0\sqrt{R_1R_2}sin^2(\theta)}$$

x-axis is given by $\frac{\theta}{\pi}-q$

4.2.3 Measuring Resonance: Q, F, $\tau_p$.

$$Q=\frac{peak}{FWHM}=\frac{\omega_0}{\Delta \omega_{\frac{1}{2}}}=\frac{\nu_0}{\Delta \nu{\frac{1}{2}}}=\frac{\lambda_0}{\Delta \lambda_{\frac{1}{2}}}=\approx \frac{2\pi n d}{\lambda_0}\frac{G_0(R_1R_2)^{\frac{1}{2}}}{1-G_0^{\frac{1}{2}}(R_1R_2)^{\frac{1}{2}}}$$$$F=\frac{spectral \ range}{FWHM}\approx \frac{\pi G_0^{\frac{1}{2}}(R_1R_2)^{\frac{1}{4}}}{1-G_0(R_1R_2)^{\frac{1}{2}}}$$$$\tau_p=\frac{-N_p}{\frac{dN_p}{dt}}=\frac{\tau_{RT}}{1-S}=\frac{Q}{\omega_0}\Rightarrow \Delta \omega_{\frac{1}{2}}\tau_p=1$$$$N_p(t)=N_p(0)e^{-\frac{t}{\tau_p}}$$

It’s worth noting that if $\tau_p < 0$, then oscillation is sustained.

5. Homework

5.1 Homework 1

5.1.1 Problem 1

Solution:

5.1.2 Problem 2

Solution:

$$ \mathbf{T} = \begin{bmatrix} 1 & 0 \\ \frac{1}{f} & 1 \end{bmatrix} \begin{bmatrix} 1 & d \\ 0 & 1 \end{bmatrix} \begin{bmatrix} 1 & 0 \\ -\frac{1}{f} & 1 \end{bmatrix}= \begin{bmatrix} 0 & f \\ -\frac{1}{f} & 2 \end{bmatrix} $$

5.1.3 Problem 3

Solution:

(a)

(b)

$$ \mathbf{T} = \begin{bmatrix} 1 & 0 \\ -\frac{1}{f} & 1 \end{bmatrix} \begin{bmatrix} 1 & 3d \\ 0 & 1 \end{bmatrix}= \begin{bmatrix} 1 & 3d \\ -\frac{1}{f} & 1-3\frac{d}{f} \end{bmatrix} $$

(c)

$$-1 \leq cos(\theta)=\frac{A+D}{2} \leq 1$$

$$-1 \leq \frac{2-3\frac{d}{f}}{2} \leq 1$$

$$0 \leq \frac{d}{f} \leq \frac{4}{3}$$

5.1.4 Problem 4

Solution:

5.1.5 Problem 5

Solution:

5.2 Homework 2

5.2.1 Problem 1

Solution:

(a)

$$\frac{\theta}{2}=1mrad=\frac{\lambda_0}{\pi n w_0}$$$$\boxed{w_0=\frac{\lambda_0}{\pi n}\frac{1}{1mrad}}$$

(b)

$$P=5mW=\frac{E_0^2}{2\eta_0}\frac{\pi w_0^2}{2}$$$$\boxed{E_0=\sqrt{5mW\cdot 2\eta_0 \cdot \frac{2}{\pi w_0^2}}}$$

(c)

$$P=5mW=\frac{E}{\Delta t}=\frac{Nh\nu}{\Delta t}=\frac{N}{\Delta t} h \frac{c}{\lambda_0}$$$$\boxed{\frac{N}{\Delta t}=\frac{5mW \lambda_0}{hc}}$$

(d)

$$P=\frac{N+1}{\Delta t} h \frac{c}{\lambda_0}=5mW+\frac{hc}{\lambda_0}$$$$\boxed{\frac{hc}{\lambda_0}}$$

5.2.2 Problem 2

Solution:

(a)

$$w^2(z)=w_0^2(1+(\frac{z}{z_0})^2)$$

$$\boxed{z=z_0\sqrt{(\frac{w(z)}{w_0})^2-1}}$$

(b)

(c)

(d)

5.2.3 Problem 3

Solution:

5.2.4 Problem 4

Solution:

5.2.5 Problem 5

Solution:

5.3 Homework 3

5.3.1 Problem 1

Solution:

(a)

(b)

$$ \mathbf{T} = \begin{bmatrix} 1 & \frac{3}{2}d \\ 0 & 1 \end{bmatrix} \begin{bmatrix} 1 & 0 \\ -\frac{1}{f} & 1 \end{bmatrix} \begin{bmatrix} 1 & \frac{3}{2}d \\ 0 & 1 \end{bmatrix}= \begin{bmatrix} 1-\frac{3}{2}\frac{d}{f} & ... \\ ... & 1-\frac{3}{2}\frac{d}{f} \end{bmatrix} $$$$R(z)=\frac{-2B}{A-D} \rightarrow \infty$$

Since $A=D$. Therefore the location of the start and stop of the unit cell is where $z=0$, since this is where the radius is infinity and we obtain a plane wave

(c)

$$w_0=\frac{\lambda}{n\pi}(\frac{B}{\sqrt{1-(\frac{A+D}{2})^2}})$$

(d)

Valid $w_0$ if

$$1-(\frac{A+D}{2})^2 \geq 0 \Rightarrow -1\leq \frac{A+D}{2} \leq 1$$

Which is the condition we are familiar with from previous analysis.

5.3.2 Problem 2

Solution:

5.3.3 Problem 3

Solution:

5.3.4 Problem 4

Solution:

5.3.5 Problem 5

Solution: